Subiecte Bac 2019 Biologie Vegetala Si Animala
Subiecte Bac 2019 Biologie Vegetala Si Animala
Rezolvare subiect propus bacalaureat biologie vegetala 2021. Modele de subiecte bacalaureat 2019 la biologie animală și vegetală.
Iata cateva CV-uri de cuvinte cheie pentru a va ajuta sa gasiti cautarea, proprietarul drepturilor de autor este proprietarul original, acest blog nu detine drepturile de autor ale acestei imagini sau postari, dar acest blog rezuma o selectie de cuvinte cheie pe care le cautati din unele bloguri de incredere si bine sper ca acest lucru te va ajuta foarte mult
04.07.2019 · subiectele la biologie vegetală și animală bac 2019. Mijloacele de calcul sunt interzise, iar hârtia folosită este doar cea distribuită de asistenţi. „între diviziunea mitotică și diviziunea meiotică există asemănări.
149463851 biologie vegetala si animala.
Tesuturi vegetale si animale i. Scrieți un argument în favoarea afirmaţiei următoare: Rezolvare subiect propus bacalaureat biologie vegetala 2021.
În acest ebook găsești rezolvarea simulării examenului de bacalaureat la biologie vegetală și animală care a avut loc în martie 2019. Biologia este o disciplină fundamentală pentru formarea viitorilor farmacisti. Mijloacele de calcul sunt interzise, iar hârtia folosită este doar cea distribuită de asistenţi.
În cazul în care se organizează centre regionale de contestaţii, lucrările de la centrele zonale de evaluare, ale căror rezultate iniţiale au fost.
Subiecte biologie vegetală și animală great news. Subiecte, programe, variante si rezolvari biologie si anatomie. Calendarul simulărilor şi examenelor la bac 2020:
În acest ebook găsești rezolvarea simulării examenului de bacalaureat la biologie vegetală și animală care a avut loc în martie 2019. 149463851 biologie vegetala si animala. This entry was posted in modele de subiect bac biologie vegetala si animala.
Fotosinteza se produce in organismele vegetale care au tesuturi asimilatoare cu.
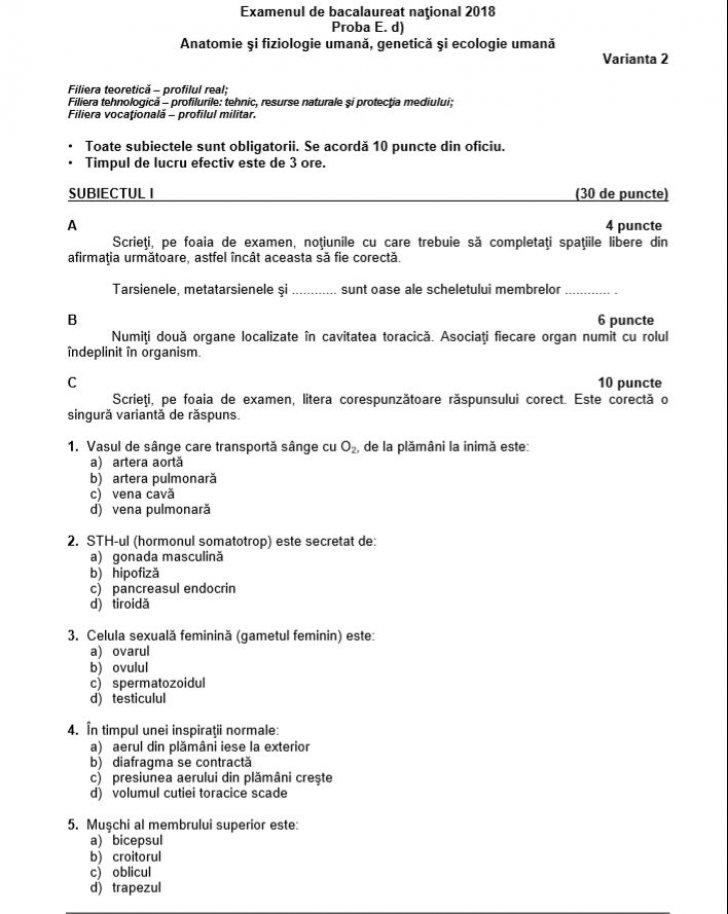
Subiecte biologie vegetala bac 2019, barem biologie vegetala bac 2019, subiecte biologie animala bac 2019, barem biologie animala bac 2019. Calendarul simulărilor şi examenelor la bac 2020: Subiectele la anatomie și fiziologie umană, genetică și ecologie umană le poți descărca aici!

Posting Komentar untuk "Subiecte Bac 2019 Biologie Vegetala Si Animala"