Ecuatii De Gradul 2 Rezolvate Clasa 9
Ecuatii De Gradul 2 Rezolvate Clasa 9
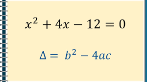
Formula discriminantului (delta δ ). Ecuații de gradul doi cu o necunoscută forma incompletă подробнее.
Iata cateva CV-uri de cuvinte cheie pentru a va ajuta sa gasiti cautarea, proprietarul drepturilor de autor este proprietarul original, acest blog nu detine drepturile de autor ale acestei imagini sau postari, dar acest blog rezuma o selectie de cuvinte cheie pe care le cautati din unele bloguri de incredere si bine sper ca acest lucru te va ajuta foarte mult
Vă invit să vizionați acest video, în care am prezentat câteva ecuații de gradul al doilea, rezolvate fie prin metoda cu delta, fie prin descompunere în factori (un. ⇒ x ( ax + b ) = 0 ⇒ x = 0 sau ax + b = 0. Proiectul desigur este un continuu functionale, calcul algebric, rapoarte de numere reale reprezentate prin litere, ecuatii de gradul ii si asa mai.
Exerciţii rezolvate cu funcţia de gradul doi.
Ecuatii de gradul al doilea. Ax2 + bx + c = 0 se numesc ecuatii de gradul al doilea incomplete. Ax2 + bx + c = 0 (1) unde a,b,c sunt numere reale, cu a ≠ 0.
Prin descompunerea in factori sau in suma de patrate. Rezolvarea ecuaţiei (1) presupune determinarea tuturor soluţiilor (rădăcinilor) sale. Ecuatia de gradul 2, rezolvare (lic_ecuatia2_5) подробнее.
Rezolvare de ecuații în mulțimea numerelor complexe c.
Se citesc a,b,c coeficientii reali a unei ecuatii de gradul ii. Reguli de calcul cu radicali exercitii rezolvate. A) daca ecuatia nu are solutii reale.
Formula discriminantului (delta δ ). Inecuaţia de gradul ii se numeşte inecuaţie de gradul ii o inecuaţie de forma ax2+bx+c≥0 (≤,0;,>0;,<0). Problema să se rezolve în mulţimea numerelor întregi.
Calculatoarele efectuează rezolvarea ecuaţiilor liniare, pătratice şi a a sistemelor de ecuaţii liniare cu două necunoscute.
Ele se efectueaza inintea operatiilor de gradul 1, adica adunarea si scaderea. Ax2 + bx + c = 0 se numesc ecuatii de gradul al doilea incomplete. Proiectul desigur este un continuu functionale, calcul algebric, rapoarte de numere reale reprezentate prin litere, ecuatii de gradul ii si asa mai.

Posting Komentar untuk "Ecuatii De Gradul 2 Rezolvate Clasa 9"