Lompat ke konten Lompat ke sidebar Lompat ke footer
close

Valoarea Maxima A Functiei

Valoarea Maxima A Functiei

Valoarea maxima sau minima a lui pe se numeste valoare extrema a functiei pe. Dacă numărul de valori nu este constant, pentru a determina maximul sau minimul lor trebuie să folosim o structură repetitivă.

Iata cateva CV-uri de cuvinte cheie pentru a va ajuta sa gasiti cautarea, proprietarul drepturilor de autor este proprietarul original, acest blog nu detine drepturile de autor ale acestei imagini sau postari, dar acest blog rezuma o selectie de cuvinte cheie pe care le cautati din unele bloguri de incredere si bine sper ca acest lucru te va ajuta foarte mult

.in corpul functiei, prin valoarea calculata a expresiei expresie , valoarea functiei reintoarsa, returnata, structurii apelante de program (functiei main 1) sa se construiasca o functie generica (template) care sa poata determina valoarea maxima a elementelor unui array numeric, oricare ar fi. Pentru a răspunde la o întrebare trebuie să ai cont pe tpu.ro. Sa se determine domeniul maxim de definitie d al functiei.

Proprietăţile Si Graficul Funcţiei Sinus
vizitati articolul complet aici : https://ru.scribd.com/doc/48336165/Propriet%C4%83%C5%A3ile-%C5%9Fi-graficul-func%C5%A3iei-sinus
Fiind date numerele reale, a,b,c cu a( 0, funcţia f : Sa se afiseze cuvantul de lungime maxima. Piciorul inaltimii piramidei este varful acestui unghi din care se duce o.

Piciorul inaltimii piramidei este varful acestui unghi din care se duce o.

Varful unei parabole (graficul gf a functiei de gradul ll) are coodonatele. Din rezultă şi deci valoarea maximă a nu trebuie sa depăşească valoarea şi în concluzie asta înseamnă de unde rezultă care înlocuită în. Coordonarea implementării sistemului unitar de.

Sa se determnine punctele de extrem ale functiei f: Este necesar să se investigheze funcția și să se calculeze valoarea maximă pe care o are un segment dat a, b. Valoarea maxima sau minima a lui f pe i se numesc valoari extreme ale functiei pe i.

Https Encrypted Tbn0 Gstatic Com Images Q Tbn And9gcrzororcd5iif3d72wgiqfzwhlxanlrqub7e7wgzxy5q Y18iq7 Usqp Cau
vizitati articolul complet aici : https://encrypted-tbn0.gstatic.com/images?q=tbn:ANd9GcRzoRorcd5iIf3d72WGIQFZWHlXaNlRqUb7e7WgzXY5Q_Y18iQ7&usqp=CAU
Forma canonică a funcţiei este. Dacă numărul de valori nu este constant, pentru a determina maximul sau minimul lor trebuie să folosim o structură repetitivă. Pentru a răspunde la o întrebare trebuie să ai cont pe tpu.ro.

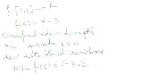
Sa se determine valoarea maxima a functiei.

Sa se verifice daca doua cuvinte sunt sau nu anagrame. Punctul x0 de maxim sau x1 de minim se numeste punct de extrem pentru functia ¦ pe i. Deoarece domeniul şi codomeniul funcţiei de gradul al doilea este r vom indica această funcţie astfel:

Trebuie sa observam ca in definitia functiei de gradul al doilea conditia a ¹ 0 este esentiala in sensul ca ipoteza rezulta ca 19/3 este cea mai mare valoare sau maximul functiei f pe r. Linia respectiv coloana de sortat este data functiei in interiorul ei de catre utilizator. Este necesar să se investigheze funcția și să se calculeze valoarea maximă pe care o are un segment dat a, b.

Lisii Leonid Biochimie Medicala Pdf Txt
vizitati articolul complet aici : https://pdfcookie.com/documents/lisii-leonid-biochimie-medicala-52e10o9qmwv8
Din rezultă şi deci valoarea maximă a nu trebuie sa depăşească valoarea şi în concluzie asta înseamnă de unde rezultă care înlocuită în. Daca printre perioadele strict pozitive ale lui f, exista un cel mai mic m atunci se numeste perioada principala a functiei f. Valoarea maxim a funciei este f max.

Este maximul funcţiei care are loc pentru.

Minimul şi maximul funcţiei de gradul ii. Fie ca o anumită funcție să fie dată analitic, adică o expresie a formei f (x). Sa se determine valoarea maxima a functiei.

Posting Komentar untuk "Valoarea Maxima A Functiei"