Lompat ke konten Lompat ke sidebar Lompat ke footer
close

Radacinile Ecuatiei De Gradul 3

Radacinile Ecuatiei De Gradul 3

Exista si alte metode de rezolvare a ecuatiei de gradul iii. Test online ecuatii de gradul întâi.

Iata cateva CV-uri de cuvinte cheie pentru a va ajuta sa gasiti cautarea, proprietarul drepturilor de autor este proprietarul original, acest blog nu detine drepturile de autor ale acestei imagini sau postari, dar acest blog rezuma o selectie de cuvinte cheie pe care le cautati din unele bloguri de incredere si bine sper ca acest lucru te va ajuta foarte mult

Daca d > 0 ю ecuatia are solutii reale x1 , x2 о r cu proprietatea ca : Fiind data ecuatia de gradul doi , , cu (i.e. Daca a > 0 si discriminantul trinomului ax2 + bx + c este egal cu zero, atunci.

Ecuatia De Gradul 3 Exercitii Rezolvate Exercitiu Rezolvat Ecuatia De Gradul 3 Y 3 6y 6 0 Metoda Cardan Ecuatia De Gradul 3 Metoda Math Math Equations
vizitati articolul complet aici : https://www.pinterest.com/pin/598486237974582137/
9:56 radu poenaru 76 977 просмотров. Ne propunem sa stabilim seturile de conditii care trebuie puse pentru pozitionarea corecta a radacinilor reale ale ecuatiei date (deci conditia nu trebuie defel uitata). Admite doua radacini reale ) si numerele reale ne propunem sa stabilim 12.

Ne propunem sa stabilim seturile de conditii care trebuie puse pentru pozitionarea corecta a radacinilor reale ale ecuatiei date (deci conditia nu trebuie defel uitata).

Ecuatiile de gradul al doilea pot rezolvate conform urmatoarei armatii: Dacă răspunzi corect la toate întrebările, primești 10 puncte. Cazuri particulare de ecuatii de gradul ii.

Cazuri particulare de ecuatii de gradul ii. Fie ecuatia de gradul al doilea si numerele reale a,b ( ). Dacă răspunzi corect la toate întrebările, primești 10 puncte.

File Radacinile Ecuatiei De Gradul 1 2 3 4 N Pdf Wikimedia Commons
vizitati articolul complet aici : https://commons.wikimedia.org/wiki/File:Radacinile_ecuatiei_de_gradul_1,_2,_3,_4,_n.pdf
Daca ecuatia nu are termen liber, metoda rapida de rezolvare este urmatoarea daca se cere sa se descompuna o ecuatie de gradul ii in produs de factori de grad i atunci se rezolva ecuatia, se obtin radacinile iar. Aceste calcule sunt doar pentru cei pasionați de matematică ). Ecuatiile de gradul al doilea pot rezolvate conform urmatoarei armatii:

Daca , sunt radacinile ecuatiei , sa se formeze ecuatia de gradul al doilea in ale carei radacini sunt

Radacinile ecuatiei sunt daca ecuatia are toate radacinile reale ,dintre care cel putin 2 egale. Am vazut ca la comparatia radacinilor cu un. Ecuatii și sisteme de ecuatii.

Calculator ecuatia de gradul ii formuleonline.blogspot.com. Daca ecuatia are o singura radacina reala si 2 complexe conjugate. Daca a > 0 si discriminantul trinomului ax2 + bx + c este egal cu zero, atunci.

Https Encrypted Tbn0 Gstatic Com Images Q Tbn And9gcs4bzqromp7f Opq4rjzmltdxgsa59iqrkhvs3gc9fop 016aav Usqp Cau
vizitati articolul complet aici : https://encrypted-tbn0.gstatic.com/images?q=tbn:ANd9GcS4bzqromp7f_OPq4rjzmLtDXGsa59iQrkhvs3Gc9FOP_016Aav&usqp=CAU
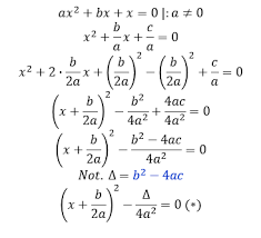
Radacinile ecuatiei de grad doi : Formarea ecuatiei de gradul al doilea. Pentru a găsi soluțiile ecuației de gradul doi, vom împărți ecuația cu a și vom încerca să formăm un pătrat perfect.

Altfel, există formulele lui cardano, dar nu au nici o aplicaţie în probleme de examen.

Alcatuim asadar ecuatia de gradul al doilea ii cu radacinile: 9:56 radu poenaru 76 977 просмотров. Test online ecuatii de gradul întâi.

Posting Komentar untuk "Radacinile Ecuatiei De Gradul 3"